【关注】吕梁市教育局通知
78信息
2020 年度新知答主
10 人赞同了该文章
附件一:
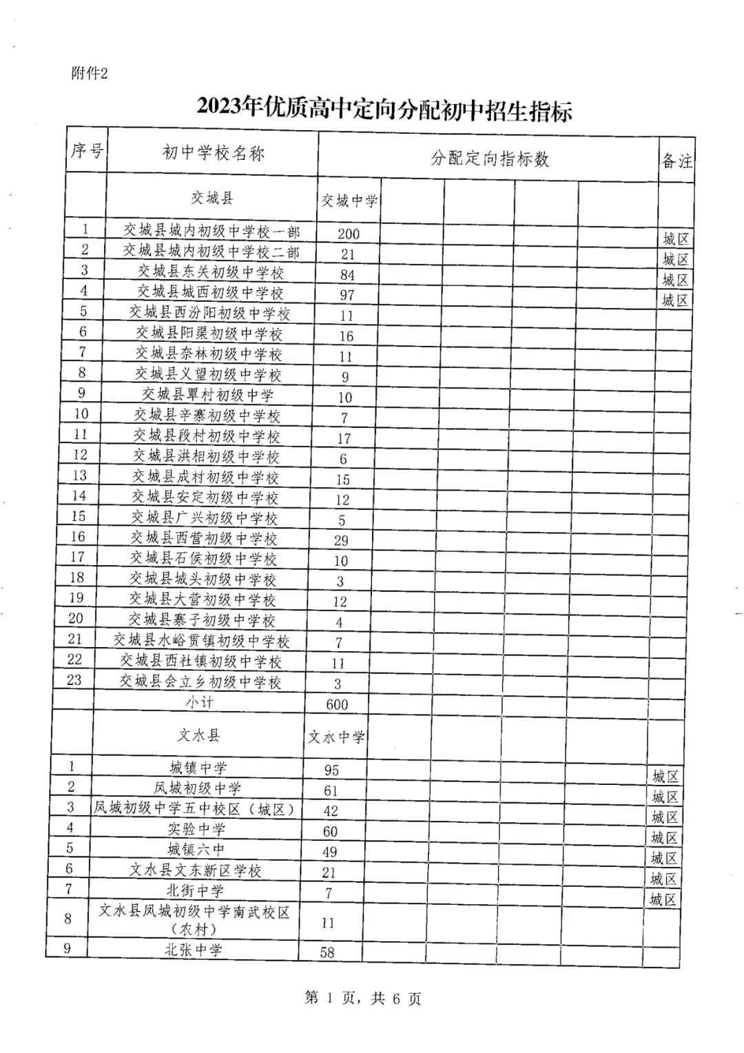
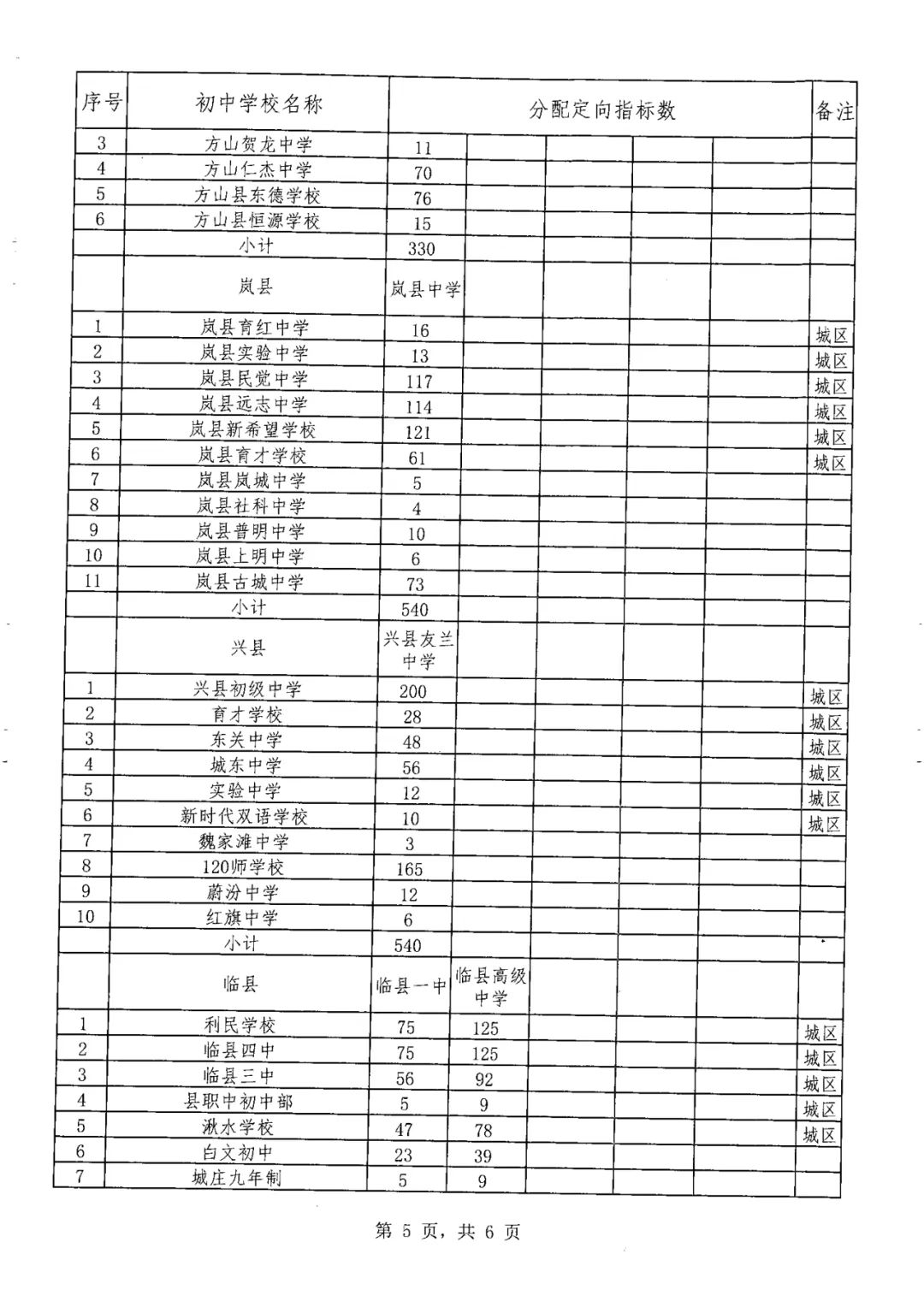
附件二:
来源:吕梁市教育局
如有侵权问题,请联系我们删除。
推荐阅读
“品端午,话传承”——“党建进宿舍”之“溪山杂谈”系列活动
互联网
【以案释法】这种“太太乐”鸡精,在出租屋里制成
互联网
贵医团团毕业特辑 | 请打包2023年毕业班辅导员的牵挂与祝福!
互联网
“识毒防毒拒毒,向毒品say ‘no’” ——6·26国际禁毒日禁毒科普活动
互联网
关于公开招聘化学工程学院学生会各部门负责人及社团负责人的通知
互联网