材料科学与工程,材料类综合、全面、专业的平台。
材料类综合、全面、专业的平台,主要发布材料相关知识信息,包括前沿资讯、基础知识、科研产业、考研求职等。网址:www.cailiaokexue.com。
2774篇原创文章。
微信公众号
,,
使用相变材料(PCM)作为热能储存,可以调节可再生能源的不匹配能源供需、废热能的回收利用以及大功率电子设备的热管理,具有很大的潜力。然而,作为最常用的相变材料,固液相变材料在高温下存在液体泄漏、形状不稳定和严重腐蚀性等致命缺点,对热能存储系统的稳定性、安全性和使用寿命都构成了极大威胁。
来自北京科技大学的学者们开发了一种新材料——超高性能固态PCM。这种材料具有大潜热、高导热性以及高密度等特点,而且其相变温度可调,适用于不同高温应用。此外,它还表现出优异的热循环稳定性。作为固-固相变材料,它无泄漏风险、无腐蚀性且形状稳定,具有无可比拟的优势。这种Ni-Mn-Ti固-固相变PCM是高效、紧凑和耐用的高温热能存储应用的有力候选者。通过原位中子衍射实验揭示了跨越相变的大晶胞体积变化(2.49%)和相变相之间良好的几何相容性,分别解释了大潜热和优异的热循环能力。这为设计先进的高性能固态储热材料开辟了一条新途径。相关文章以“Ultrahigh-performancesolid-solid phasechange materialforefficient,high-temperature thermalenergystorage”标题发表在ActaMaterialia。
论文链接:https://doi.org/10.1016/j.actamat.2023.118852。
https://doi.org/10.1016/j.actamat.2023.118852


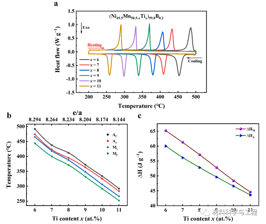
图1.Ni49.5Mn50.5-xTix)99.8B0.2SS-PCM量热结果。(a)DSC曲线;(b)正向(Ms和Mf)和反向(As和Af)相变温度与Ti 含量x和价电子浓度e/a的函数关系;(c)与正向(ΔHM)和反向(ΔHA)相变相关的焓变与Ti 含量x的函数关系。

图2.(Ni49.5Mn50.5-xTix)99.8B0.2SS-PCM的密度与Ti含量 x的函数关系。红色虚线为用符号表示的实验数据的线性拟合。

图3.(Ni49.5Mn50.5-xTix)99.8B0.2SS-PCM的比热容与温度的关系。

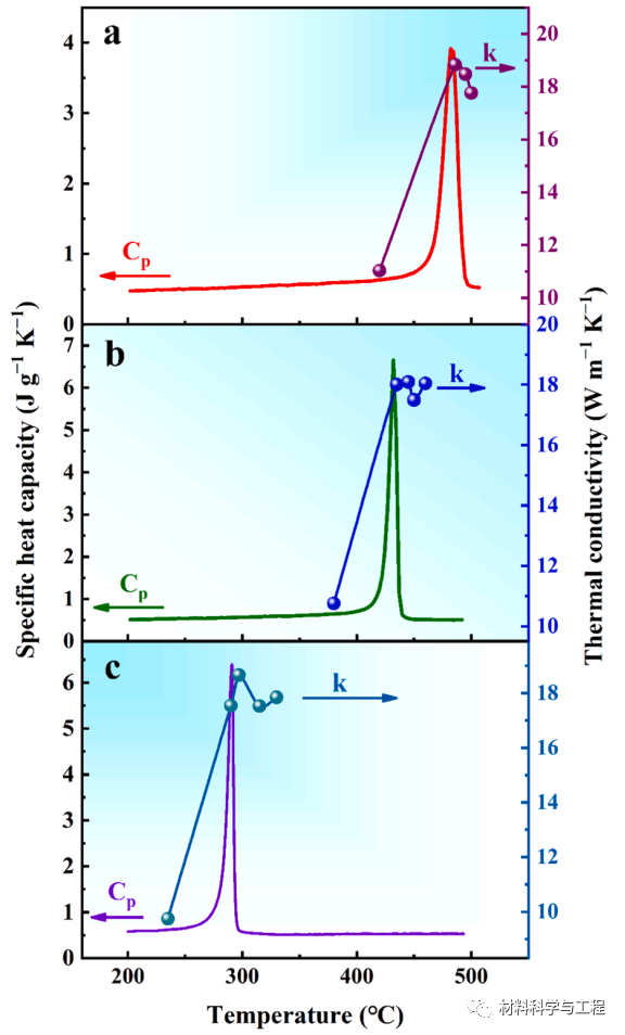
图4.热导率(k)和比热容(Cp)。(a-c)热导率(k)和比热容(Cp)对不同Ni-basedSS-PCM加热温度依赖性的测试。(a)加热温度为1000度时(Ni49.5Mn44.5Ti6)99.8B0.2(a)、(Ni49.5Mn43.5Ti7)99.8B0.2(b) 和(Ni49.5Mn39.5Ti11)99.8B0.2(c) 的SEM图像。

图5.典型SS-PCM和SL-PCM的相变温度下品质因数(FOM)的绘制。数据来自现有工作和文献。*非金属SS-PCM包括有机多元醇SS-PCM、有机金属SS-PCM和聚合物SS-PCM。

图6.相变和热物理性质的热循环稳定性。(a)(Ni49.5Mn39.5Ti11)99.8B0.2SS-PCM在第1-70、120、170、220、270、370、420和1000次热循环期间的DSC曲线。(b)相应相变温度(Ms、Mf、As和Af)和相变焓变(ΔHM、ΔHA)作为循环次数的函数。

:图7.瞬态温度响应结果。(a)(Ni49.5Mn39.5Ti11)99.8B0.2(实线)和(Ni50Mn31.5Ti18.5)99.8B0.2(虚线)SS-PCMDSC曲线。(b)ΔT(Ni49.5Mn39.5Ti11)99.8B0.2和(Ni49.5Mn44.5Ti6)99.8B0.2与(Ni49.5Mn39.5Ti11)99.8B0.2和(Ni49.5Mn44.5Ti6)99.8B0.2的ΔT比较。(c)(Ni49.5Mn39.5Ti11)99.8B0.2(实线)和(Ni49.5Mn44.5Ti6)99.8B0.2(虚线)DSC曲线。(d)ΔT(Ni49.5Mn39.5Ti11)99.8B0.2和(Ni49.5Mn44.5Ti6)99.8B0.2与(Ni49.5Mn39.5Ti11)99.8B0.2和(Ni49.5Mn44.5Ti6)99.8B0.2的ΔT比较。

编辑:图8.中子粉末衍射结果。(a)(Ni49.5Mn39.5Ti11)99.8B0.2SS-PCM在330°C下观察到的中子粉末衍射图(黑点)和差分图(红线)。(b)高温奥氏体相晶体结构示意图。(c)(Ni49.5Mn39.5Ti11)99.8B0.2SS-PCM在220°C下观察到的中子粉末衍射图(黑点)和差分图(红线)。(d)低温马氏体相晶体结构示意图。对于涉及的相,“A”和“M”分别表示高温奥氏体和低温马氏体。
编辑:本研究利用金属材料马氏体相变所具有的大潜热、高导热性、高密度等特点,开发出了一类超高性能高温Ni-Mn-TiSS-PCM。其FOM最大值可达9056×106J2K611s611m614,比商用PCM高15倍,温度高达~500°C。Ni-Mn-TiSS-PCM的相变温度可通过成分控制在290-500°C宽温度范围内精确调节,满足不同工作温度下各种应用的需求。此外,NiMn-TiSS-PCM的相变在热循环时表现出优异的稳定性。这些优点使目前的Ni-Mn-TiSS-PCM成为高效、紧凑和耐用的高温热能存储应用的有力候选者。原位中子衍射揭示了马氏体相变过程中晶胞体积的大变化和相变相之间良好的几何相容性,这分别是大潜热和优异的热循环稳定性的原因。目前的工作可能会激发在广泛的金属相变材料中发现先进的高性能固态热能存储材料。(文:SSC)
本文来自微信公众号“材料科学与工程”,欢迎转载,请通过微信公众号联系我们,谢谢。本文章禁止转载至其他网站。
欢迎在留言区留下您的观点,并点亮在看。